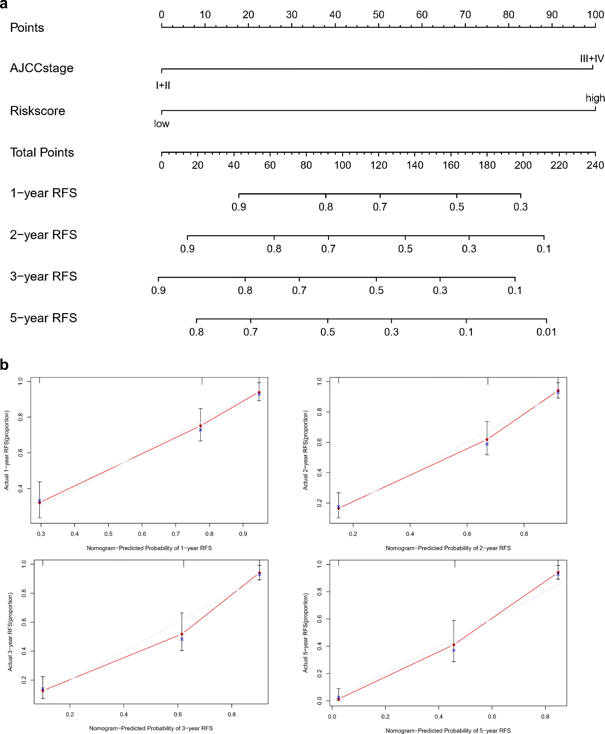
Fig. 11From: Comprehensive analyses of competing endogenous RNA networks reveal potential biomarkers for predicting hepatocellular carcinoma recurrenceThe integrated Nomogram consists of the four-gene signature and AJCC stage for predicting HCC RFS at 1-, 2-, 3-, and 5-year in the TCGA databaseBack to article page